体育资讯
Sports News
作者:伟德国际1946官网     时间:2026-03-27     浏览:     来源:伟德国际victor1946

2026湖北省城市足球联赛揭幕战定档 黄石荆州打响

2026年湖北省城市足球联赛(简称"楚超联赛")正式进入筹备倒计时,赛事组织方于昨日公布17个市州参赛队伍名单,标志着这项覆盖全省的足球盛事即将拉开帷幕。作为湖北省最具影响力的业余足球赛事之一,楚超联赛自创办以来便以"全民参与、城市争锋"为宗旨,今年的赛事规模较往届实现跨越式升级,不仅参赛队伍数量创历史新高,更在赛制设计和球员管理方面引入多项创新机制。

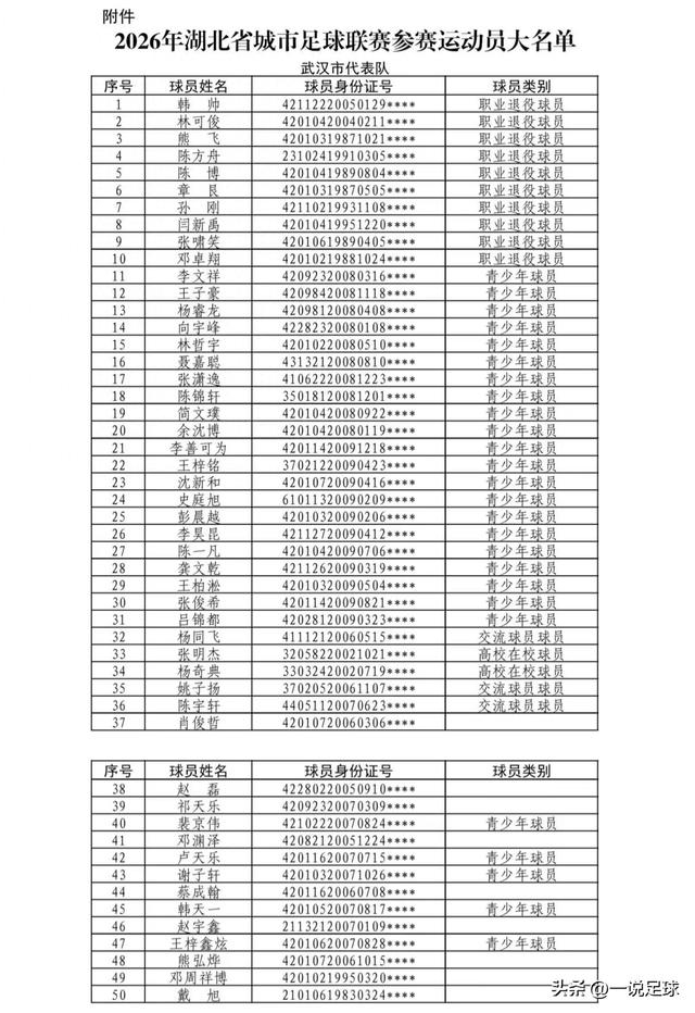
根据官方公布的参赛名单,武汉、黄石、十堰、宜昌、襄阳、鄂州、荆门、孝感、荆州、黄冈、咸宁、随州、恩施、仙桃、潜江、天门、神龙架等17个市州均组建了代表队参赛。值得注意的是,本次赛事首次实现全省所有市州全覆盖,较2023年赛事的15个参赛城市增加2个。每支队伍由22名球员组成,其中包含大量本地足球青训体系培养的年轻球员,以及部分具备职业联赛经验的退役球员,这种"老带新"的组队模式为赛事注入了多元化的竞技活力。

2026湖北省城市足球联赛揭幕战定档 黄石荆州打响

赛事组委会负责人透露,今年的赛程设计突破传统模式,采用"分区联赛+淘汰赛"的双轨制。首轮比赛将按照地理区域划分为鄂东、鄂中、鄂西三大赛区,各赛区进行小组循环赛,最终排名前八的队伍晋级淘汰赛阶段。这种赛制既保证了各市州球队的竞技公平性,又通过区域对抗激发地方足球热情。特别值得关注的是,赛事引入了"球员信用积分"系统,所有参赛球员需通过体能测试、纪律审查等环节,确保赛事的规范性和竞技水平。

揭幕战的对阵双方黄石与荆州的组合颇具看点。黄石作为湖北省足球传统强市,拥有成熟的青训体系和丰富的赛事经验;荆州则凭借近年来的快速崛起,成为中部地区足球发展的新势力。两队在过往的市际联赛中多次交手,形成了深厚的竞争底蕴。赛事组织方特别强调,揭幕战将采用"主客场"制,确保各参赛城市都能在家门口感受赛事氛围。

2026湖北省城市足球联赛揭幕战定档 黄石荆州打响

在球员管理方面,本次赛事首次实现参赛名单的完全公开化。所有报名球员的姓名、身份证号、所属队伍及资格类型等信息均通过官方渠道公示,这种透明化操作不仅提升了赛事的公信力,也为球迷提供了更丰富的观赛视角。据赛事组委会介绍,这种信息公开举措源于对"公平竞赛"理念的坚持,同时也为未来赛事的规范化管理奠定了基础。

作为湖北省足球发展的标杆赛事,楚超联赛始终致力于推动足球运动的普及与提升。今年的赛事特别增设了"青少年球员发展计划",鼓励各市州队伍选拔18岁以下球员参赛,并为他们提供专业的训练指导。这种"以赛促训"的模式,既为年轻球员创造了实战机会,也帮助基层足球青训体系发现和培养人才。

2026湖北省城市足球联赛揭幕战定档 黄石荆州打响

赛事筹备期间,各市州均投入大量资源进行备战。以黄石队为例,该队已组建由前职业球员担任教练的训练团队,并在市体育中心搭建了专业训练场地。荆州队则依托本地高校资源,与体育学院合作开展体能训练。这种各市州积极备战的态势,不仅体现了对赛事的重视程度,更展现了湖北省足球发展的蓬勃生机。

随着4月12日揭幕战的临近,各参赛队伍正紧锣密鼓地进行最后备战。这场承载着湖北足球梦想的赛事,将通过17个市州的激烈角逐,展现中部地区足球运动的最新发展态势。无论是老将的回归还是新星的崛起,都将为球迷带来精彩纷呈的观赛体验,共同见证湖北省足球事业的新篇章。

2026湖北省城市足球联赛揭幕战定档 黄石荆州打响 2026湖北省城市足球联赛揭幕战定档 黄石荆州打响 2026湖北省城市足球联赛揭幕战定档 黄石荆州打响 2026湖北省城市足球联赛揭幕战定档 黄石荆州打响 2026湖北省城市足球联赛揭幕战定档 黄石荆州打响 2026湖北省城市足球联赛揭幕战定档 黄石荆州打响 2026湖北省城市足球联赛揭幕战定档 黄石荆州打响 2026湖北省城市足球联赛揭幕战定档 黄石荆州打响 2026湖北省城市足球联赛揭幕战定档 黄石荆州打响 2026湖北省城市足球联赛揭幕战定档 黄石荆州打响 2026湖北省城市足球联赛揭幕战定档 黄石荆州打响 2026湖北省城市足球联赛揭幕战定档 黄石荆州打响 2026湖北省城市足球联赛揭幕战定档 黄石荆州打响 2026湖北省城市足球联赛揭幕战定档 黄石荆州打响